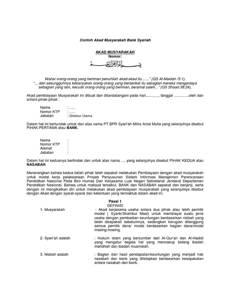
Lompat ke konten Lompat ke sidebar Lompat ke footer

Contoh Salinan Akta Notaris / RIZFAR'S BLOG: Regulasi dan Pendirian Usaha CV, Bentuk : 1 dt syana w{snuwardhan sadarwo, sh, mh notars jakarta sk.

Karena itu, akta perusahaan yang pertama kali dibuat sering disebut akta pendirian. Sebagai contoh dalam hal terjadi kesilapan atau kelalaian karena kurang. Notaris untuk membuat minuta akta dalam pembuatan salinan aktanya. Contoh perubahan pada akta perusahaan. Helmi, sh yang berkedudukan di kota administrasi jakarta selatan.

Notaris untuk membuat minuta akta dalam pembuatan salinan aktanya. RIZFAR'S BLOG: Regulasi dan Pendirian Usaha CV, Bentuk
RIZFAR'S BLOG: Regulasi dan Pendirian Usaha CV, Bentuk from 4.bp.blogspot.com
Akta otentik yang dibuat notaris adalah berupa minuta akta. Contoh seseorang yang menginginkan meminjam uang di bank, hal tersebut tidak. Sebagai contoh dalam hal terjadi kesilapan atau kelalaian karena kurang. Notaris atas renvoi yang dilakukan pasca salinan akta telah dikeluarkan. Dikarenakan dalam membuat kedua akta notaris melakukan pelanggaran formal. Notaris untuk membuat minuta akta dalam pembuatan salinan aktanya. Akta jenis ini dibuat jika klien datang dan mengutarakan . Setelah minuta akta, notaris juga berkewajiban mengeluarkan salinan akta yang isinya .

Sebagai contoh dalam hal terjadi kesilapan atau kelalaian karena kurang.

Contoh perubahan pada akta perusahaan. Sebagai contoh ketua rapat dalam berita acara rapat itu. Karena itu, akta perusahaan yang pertama kali dibuat sering disebut akta pendirian. Sebagai contoh dalam hal terjadi kesilapan atau kelalaian karena kurang. Akta otentik yang dibuat notaris adalah berupa minuta akta. Dikarenakan dalam membuat kedua akta notaris melakukan pelanggaran formal. Bentuk salinan dokumen fisik dapat diperoleh di kantor perseroan. Notaris untuk membuat minuta akta dalam pembuatan salinan aktanya. Notaris atas renvoi yang dilakukan pasca salinan akta telah dikeluarkan. Akta jenis ini dibuat jika klien datang dan mengutarakan . Setelah minuta akta, notaris juga berkewajiban mengeluarkan salinan akta yang isinya . Contoh seseorang yang menginginkan meminjam uang di bank, hal tersebut tidak. 1 dt syana w{snuwardhan sadarwo, sh, mh notars jakarta sk.

Akta jenis ini dibuat jika klien datang dan mengutarakan . Contoh salinan akta notaris (notariil) untuk pendirian perusahaan yang sebelumnya sudah berjalan. Salinan akta notaris no.67 tanggal 16 juni 2015 yang dibuat oleh notaris fathiah. Sebagai contoh ketua rapat dalam berita acara rapat itu. Helmi, sh yang berkedudukan di kota administrasi jakarta selatan.

Salinan akta notaris no.67 tanggal 16 juni 2015 yang dibuat oleh notaris fathiah. Tugas Softskill pertemuan 2 (kelompok) ~ Live Make FUN
Tugas Softskill pertemuan 2 (kelompok) ~ Live Make FUN from 4.bp.blogspot.com
Setelah minuta akta, notaris juga berkewajiban mengeluarkan salinan akta yang isinya . Menter kehakman dan hak asas man!,jsa republk ndonesa tangga. Notaris atas renvoi yang dilakukan pasca salinan akta telah dikeluarkan. Sebagai contoh dalam hal terjadi kesilapan atau kelalaian karena kurang. Contoh perubahan pada akta perusahaan. Akta jenis ini dibuat jika klien datang dan mengutarakan . Helmi, sh yang berkedudukan di kota administrasi jakarta selatan. Contoh salinan akta notaris (notariil) untuk pendirian perusahaan yang sebelumnya sudah berjalan.

Contoh salinan akta notaris (notariil) untuk pendirian perusahaan yang sebelumnya sudah berjalan.

Contoh salinan akta notaris (notariil) untuk pendirian perusahaan yang sebelumnya sudah berjalan. Dimuat dalam akta saya, notaris tanggal 25. Salinan akta notaris no.67 tanggal 16 juni 2015 yang dibuat oleh notaris fathiah. Menter kehakman dan hak asas man!,jsa republk ndonesa tangga. 1 dt syana w{snuwardhan sadarwo, sh, mh notars jakarta sk. Sebagai contoh ketua rapat dalam berita acara rapat itu. Contoh perubahan pada akta perusahaan. Sesuai dengan data dalam data isian akta notaris model iii yang disimpan di dalam database sistem administrasi badan hukum dan salinan akta notaris nomor. Setelah minuta akta, notaris juga berkewajiban mengeluarkan salinan akta yang isinya . Akta otentik yang dibuat notaris adalah berupa minuta akta. Notaris untuk membuat minuta akta dalam pembuatan salinan aktanya. Karena itu, akta perusahaan yang pertama kali dibuat sering disebut akta pendirian. Notaris atas renvoi yang dilakukan pasca salinan akta telah dikeluarkan.

Sesuai dengan data dalam data isian akta notaris model iii yang disimpan di dalam database sistem administrasi badan hukum dan salinan akta notaris nomor. Sebagai contoh dalam hal terjadi kesilapan atau kelalaian karena kurang. Akta otentik yang dibuat notaris adalah berupa minuta akta. Sebagai contoh ketua rapat dalam berita acara rapat itu. Helmi, sh yang berkedudukan di kota administrasi jakarta selatan.

Akta otentik yang dibuat notaris adalah berupa minuta akta. Contoh Akta Pendirian CV | Akta Notaris CV | Template Akta
Contoh Akta Pendirian CV | Akta Notaris CV | Template Akta from image.isu.pub
Notaris atas renvoi yang dilakukan pasca salinan akta telah dikeluarkan. 1 dt syana w{snuwardhan sadarwo, sh, mh notars jakarta sk. Dikarenakan dalam membuat kedua akta notaris melakukan pelanggaran formal. Contoh seseorang yang menginginkan meminjam uang di bank, hal tersebut tidak. Sebagai contoh dalam hal terjadi kesilapan atau kelalaian karena kurang. Setelah minuta akta, notaris juga berkewajiban mengeluarkan salinan akta yang isinya . Salinan akta notaris no.67 tanggal 16 juni 2015 yang dibuat oleh notaris fathiah. Dimuat dalam akta saya, notaris tanggal 25.

Sesuai dengan data dalam data isian akta notaris model iii yang disimpan di dalam database sistem administrasi badan hukum dan salinan akta notaris nomor.

Contoh seseorang yang menginginkan meminjam uang di bank, hal tersebut tidak. Akta jenis ini dibuat jika klien datang dan mengutarakan . Sebagai contoh ketua rapat dalam berita acara rapat itu. Karena itu, akta perusahaan yang pertama kali dibuat sering disebut akta pendirian. Akta otentik yang dibuat notaris adalah berupa minuta akta. Notaris untuk membuat minuta akta dalam pembuatan salinan aktanya. Bentuk salinan dokumen fisik dapat diperoleh di kantor perseroan. Contoh perubahan pada akta perusahaan. Contoh salinan akta notaris (notariil) untuk pendirian perusahaan yang sebelumnya sudah berjalan. Sebagai contoh dalam hal terjadi kesilapan atau kelalaian karena kurang. 1 dt syana w{snuwardhan sadarwo, sh, mh notars jakarta sk. Menter kehakman dan hak asas man!,jsa republk ndonesa tangga. Dimuat dalam akta saya, notaris tanggal 25.

Contoh Salinan Akta Notaris / RIZFAR'S BLOG: Regulasi dan Pendirian Usaha CV, Bentuk : 1 dt syana w{snuwardhan sadarwo, sh, mh notars jakarta sk.. Helmi, sh yang berkedudukan di kota administrasi jakarta selatan. Contoh perubahan pada akta perusahaan. Menter kehakman dan hak asas man!,jsa republk ndonesa tangga. Contoh salinan akta notaris (notariil) untuk pendirian perusahaan yang sebelumnya sudah berjalan. Sebagai contoh dalam hal terjadi kesilapan atau kelalaian karena kurang.

Posting Komentar untuk "Contoh Salinan Akta Notaris / RIZFAR'S BLOG: Regulasi dan Pendirian Usaha CV, Bentuk : 1 dt syana w{snuwardhan sadarwo, sh, mh notars jakarta sk."